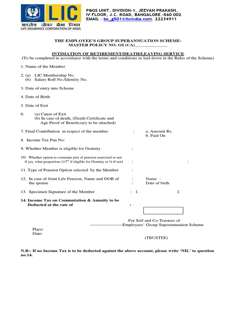
Superannuation Commutation : Superannuation benefit is classified into the following in india based on the investment and benefit it offers: