Supportix
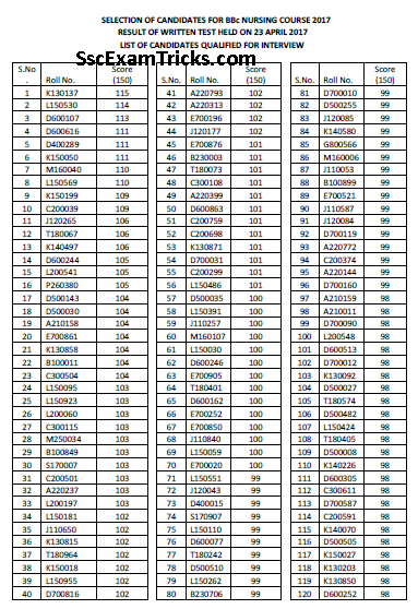
Indian Army Result - Uhsr staff nurse 2019 exam result.